产品详情

特点和应用:Features and Applications
在很宽的频带范围内具有极高的共模和差模插入损耗
Very high differential and common modeattenuation
对连续或间歇性干扰具有较高的抑制作用
High supperession for continuous andintermittent pulse interference
计价的高频干扰抑制特性
Good high frequency attenuation
适用于各种电子和数字设备(尤其是开关电源)
Available for various digital systems(partically for switching power supplies).
订购信息:Ordering Information


规格: Specifications

Hipot额定值(一分钟):
Hipot rating (one minute):

电路原理图Electrical Schematics

XEK(ET)外壳样式:XEK(ET) Case Styles

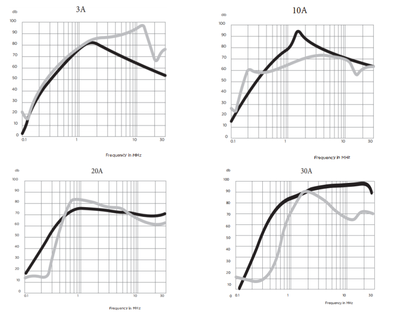
性能参数 Performance Data
典型插入损耗 ypical Insertion Loss
在封闭的50欧姆系统中测量 Measured in closed 50 Ohm system
共模/不对称 (L-6) Common Mode / Asymmetrical (L - G) 差模/对称 (L-L) Differential Mode / Syumetrical (L-L)

最小插入损耗 Minimum Insertion Loss

ZYH-X系列高插入损耗EMI电源滤波器(殴式端子).pdf